三氟甲磺酰亚胺锂合成过程中质量监控体系的建立
- 2021-07-17 12:59:00
- 何妍 原创
- 1921
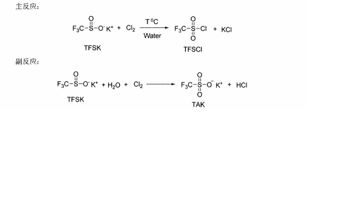
1)三氟甲基亚磺酸钾(TFSK)水溶液采用氯气氯化生成三氟甲基磺酰氯(TFsCl)并精馏提纯。
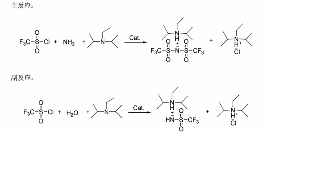
2)在二氯甲烷中, 三氟甲基磺酰氯采用氨气氨解, 在反应期间, 用N, N. 乙基二异丙胺(EDIPA)中和反应所放出的氯化氢。
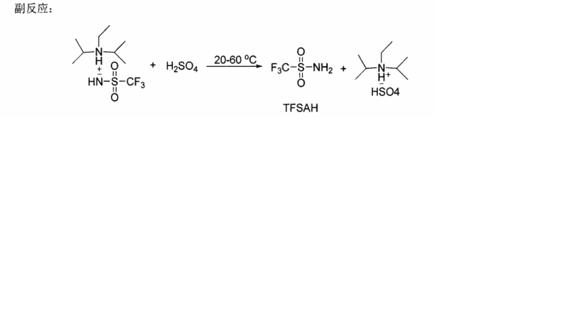
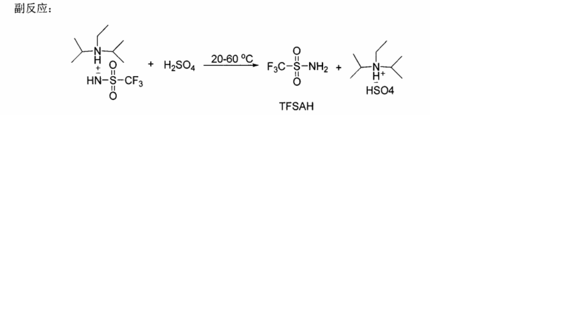
3)然后采用浓硫酸酸化, 再用高真空闪蒸得到双三氟甲磺酰亚胺粗品, 然后经过精馏提纯过程, 即可得到纯组分的双三氟甲磺酰亚胺产品。
4)最后采用氢氧化锂中和双三氟甲磺酰亚胺, 即可得到 双三氟甲磺酰亚胺锂产品。
| 联系人: | 何清 |
|---|---|
| 电话: | 021-38250098 |
| 传真: | 021-38228591 |
| Email: | qing@moiear.com |
| QQ: | 3078182654 |
| 微信: | 13816393132 |
| 网址: | www.moiear.cn |
| 地址: | 中国(上海)自由贸易试验区临港新片区环湖西二路588号201~249 |






