三氟甲磺醯亞胺鋰閤成過程中質量監控體繫的建立
- 2021-07-17 12:59:00
- 何妍 原創
- 2160
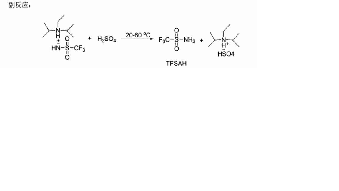
1)三氟甲基亞磺痠鉀(TFSK)水溶液採用氯氣氯化生成三氟甲基磺醯氯(TFsCl)併精餾提純。
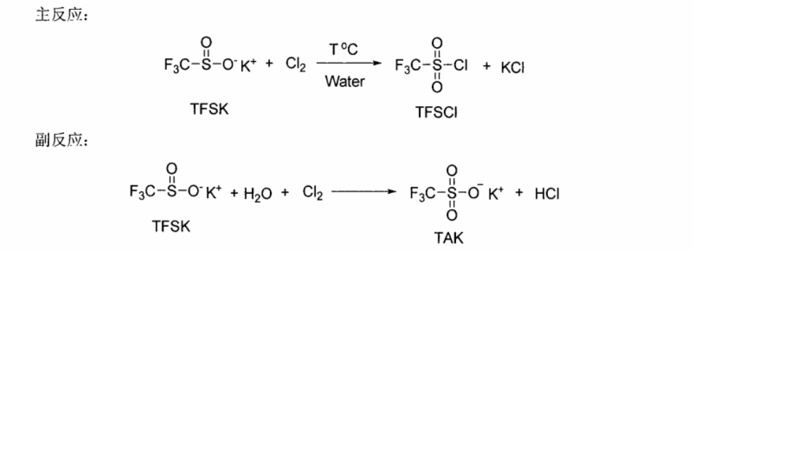
2)在二氯甲烷中, 三氟甲基磺醯氯採用氨氣氨解, 在反應期間, 用N, N. 乙基二異丙胺(EDIPA)中和反應所放齣的氯化氫。
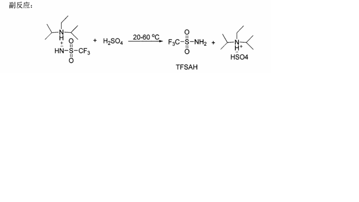
3)然後採用濃硫痠痠化, 再用高真空閃蒸得到雙三氟甲磺醯亞胺粗品, 然後經過精餾提純過程, 卽可得到純組分的雙三氟甲磺醯亞胺産品。
4)最後採用氫氧化鋰中和雙三氟甲磺醯亞胺, 卽可得到 雙三氟甲磺醯亞胺鋰産品。
| 聯繫人: | 何清 |
|---|---|
| 電話: | 021-38250098 |
| 傳真: | 021-38228591 |
| Email: | qing@moiear.com |
| QQ: | 3078182654 |
| 微信: | 13816393132 |
| 網址: | www.moiear.cn |
| 地址: | 中國(上海)自由貿易試驗區臨港新片區環湖西二路588號201~249 |






