铝电极在LiTFSI /NaTf熔盐中的充放电效率
- 2021-05-22 13:38:00
- 何妍 原创
- 1951
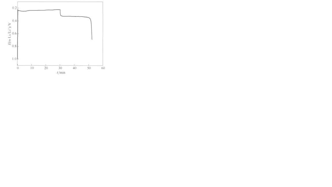
从电池性能的角度考虑,恒电流充放电技术是评价铝电极在熔盐中充放电性能最佳的研究手段。图3是在电流密度为1mA·cm-2下测得的充放电曲线 (电位-时间曲线,选取首次充放电曲线)。在曲线的起始端,可以发现有过电位极化现象,这主要是用于生成新的 Li-Al合金,该现象同样存在于接下来的循环中。曲线中间部分的电位降主要是由于电流方向的变更导致了电极的极化;曲线最后的电位急剧减小,主要是嵌入在铝晶格中的活性锂已经完全脱嵌出来而引起的。由于锂在铝电极上还原时生成了 Li-Al合金,导致放电时部分合金化的锂没有被重新氧化,从而使得锂离子在铝电极上的电流效率一般小于100%。这种现象被称为 Li-Al合金的“保留能力”。通常情况下,由于 Li-Al合金的 “保留能力”,在首次充放电过程中的电流效率会较低。图4是在不同电流密度下的循环周次和电流效率的关系曲线。在 LiTFSI/NaTf熔盐中,锂在铝电极上的电极过程可能经历了三维半球瞬间成核机制。
联系我们
| 联系人: | 何清 |
|---|---|
| 电话: | 021-38250098 |
| 传真: | 021-38228591 |
| Email: | qing@moiear.com |
| QQ: | 3078182654 |
| 微信: | 13816393132 |
| 网址: | www.moiear.cn |
| 地址: | 中国(上海)自由贸易试验区临港新片区环湖西二路588号201~249 |


