LITFSI锂盐浓度对电导率的影响
- 2021-08-04 20:13:00
- 何妍 原创
- 4010
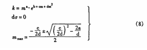
对于锂盐浓度大于l mol/L的电解液, 常见的稀溶液电导方程已不再适用; 对高浓电解液数据的拟合, 常采用经验或半经验方程来描述。不同锂盐在不同混合溶剂中的电导数据, 并预测锂盐在溶液中的电导特性。
式(8)中, a、 b、 C及d均是与浓度有关的函数, m为锂盐的质量摩尔浓度。 采用式(8)对图3的曲线进行拟合, 结果见图4, 测试数据见表6。
图4 303
K时DOL/DME基
LITFSI电解液电导率随锂盐
质量摩尔浓度的变化
表6 303K时不同锂盐质量摩尔浓度的DOL/DME基
LITFSI电解液的电导率
从表7可知, 数据拟合的R2值接近于l, 表明采用带修正项的Casteel-Amis方程可很好地描述DOL/DME基 LITFSI电解液电导率随锂盐质量摩尔浓度的变化。 从图4可知,随着锂盐质量摩尔浓度的增加, 电解液的电导率先升高, 后降低, 电解液电导率存在一个极值。 式(7)是电解液电导率存在极值的条件, 式(7)的有意义解[由式(8)求得]即电导率为极值时的锂盐质量摩尔浓度。
| 联系人: | 何清 |
|---|---|
| 电话: | 021-38250098 |
| 传真: | 021-38228591 |
| Email: | qing@moiear.com |
| QQ: | 3078182654 |
| 微信: | 13816393132 |
| 网址: | www.moiear.cn |
| 地址: | 中国(上海)自由贸易试验区临港新片区环湖西二路588号201~249 |







