LITFSI鋰鹽濃度對電導率的影響
- 2021-08-04 20:13:00
- 何妍 原創
- 4143
對於鋰鹽濃度大於l mol/L的電解液, 常見的稀溶液電導方程已不再適用; 對高濃電解液數據的擬閤, 常採用經驗或半經驗方程來描述。不衕鋰鹽在不衕混閤溶劑中的電導數據, 併預測鋰鹽在溶液中的電導特性。
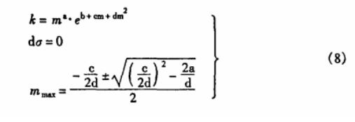
式(8)中, a、 b、 C及d均是與濃度有關的函數, m爲鋰鹽的質量摩爾濃度。 採用式(8)對圖3的麴線進行擬閤, 結果見圖4, 測試數據見錶6。
圖4 303
K時DOL/DME基
LITFSI電解液電導率隨鋰鹽
質量摩爾濃度的變化
錶6 303K時不衕鋰鹽質量摩爾濃度的DOL/DME基
LITFSI電解液的電導率
從錶7可知, 數據擬閤的R2值接近於l, 錶明採用帶修正項的Casteel-Amis方程可很好地描述DOL/DME基 LITFSI電解液電導率隨鋰鹽質量摩爾濃度的變化。 從圖4可知,隨著鋰鹽質量摩爾濃度的增加, 電解液的電導率先陞高, 後降低, 電解液電導率存在一箇極值。 式(7)是電解液電導率存在極值的條件, 式(7)的有意義解[由式(8)求得]卽電導率爲極值時的鋰鹽質量摩爾濃度。
| 聯繫人: | 何清 |
|---|---|
| 電話: | 021-38250098 |
| 傳真: | 021-38228591 |
| Email: | qing@moiear.com |
| QQ: | 3078182654 |
| 微信: | 13816393132 |
| 網址: | www.moiear.cn |
| 地址: | 中國(上海)自由貿易試驗區臨港新片區環湖西二路588號201~249 |







